搜索
深圳市
切换各区级
福田区
罗湖区
盐田区
南山区
宝安区
龙岗区
龙华区
坪山区
光明区
大鹏新区
深汕特别合作区
首页
>
信息公开
>
社区党风廉政
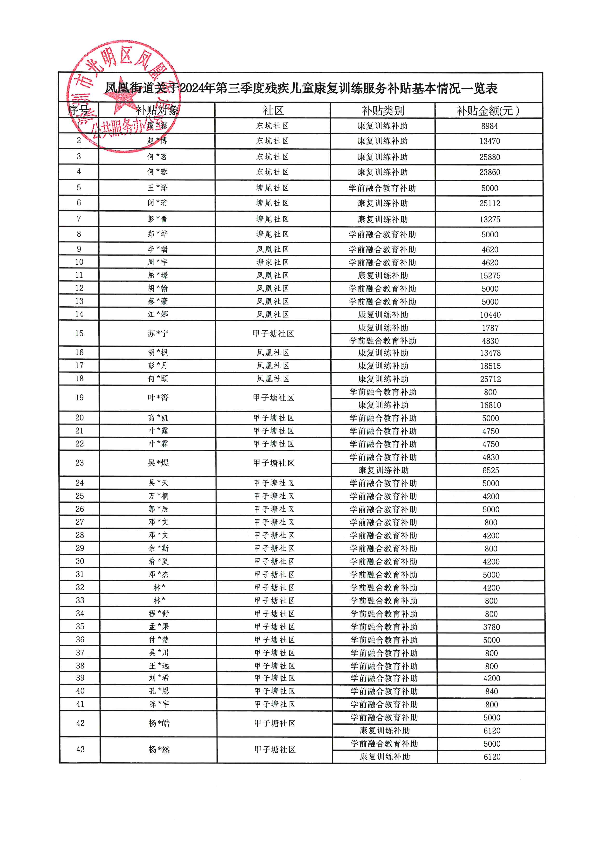
凤凰街道关于2024年第三季度残疾儿童康复救助服务补助名单基本情况公示
发布时间: 2025年02月11日
附件下载
相关文章